RC icon
Ecological values of Waterways in the South Coast Region

South Coast, Western Australia

"Ecological value includes aquatic and riparian biota, river habitats and geomorphology, physical and biological river processes, and the role that rivers may play in sustaining other systems..."

Background

cover pic The south coast region of Western Australia contains approximately 107 rivers and major tributaries, ranging from larger, perennial systems, to smaller, often ephemeral streams. The ecological values of many of these systems are poorly understood. The overall objective of this project, completed in 2009, was to conduct a comparative assessment of the ecological values of selected river systems in the south coast region. To achieve this objective, an ecological snapshot of selected rivers, covering the diverse range of aquatic environments found on the south coast, was undertaken.

Activities included

  • the collation of existing ecological information on south coast rivers
  • additional surveys of fauna and flora, habitat and water quality at 183 sites covering a range of habitats
  • the delineation and description of 'aquatic bioregions' for the south coast region using macroinvertebrate data
  • the identification of 'hotspots' for species richness and endemism using multivariate analyses
  • the assessment of ecological values of selected rivers systems using a recently developed Framework of criteria, indicators and measures
  • the exploration of the use of 'surrogate' taxa for tracking and mapping aquatic biodiversity in south coast waterways
  • mapping of the presence of biodiversity and endemism 'hotspots'

Sampling

  Some rivers were sampled at many sites and on a number of occassions, while others were sampled less frequently. Site locations and photographs and summaries of the results for all rivers can be seen by selecting the desired waterway (listed alphabetically).

Assessment

Measurements and samples were taken from 183 sites across 33 rivers, as shown on the map above. The results were used to "score" the waterways with regard to five different ecological values:

  1. Naturalness - this is a measure of the (lack of) human disturbance. The "indicators" used to assess it were:
    • the level of catchment, riparian zone and river channel disturbance
    • the level of flow modification
    • variation from natural state of water chemistry and in-stream biota

  2. Representativeness - this can only be determined after all the waterways have been studied; it is the extent to which any river can be assigned to a type or class of waterways. Its indicators are:
    • the hydrological regime
    • the water quality and biotic characteristics

  3. Diversity - this measures the biological and physical richness of the waterway. This is assessed by considering:
    • hydrological diversity
    • river channel and in-stream habitat heterogeneity
    • invertebrate, vertebrate and floral diversity

  4. Rarity - assesses the extent to which the river has uncommon or unique features or combinations of features. Again all rivers needed to be studied before this measure could be determined. The indicators used were:
    • unusual hydrological regimes or water quality types
    • rare geomorphological and habitat features
    • the presence of threatened and priority species and communities
    • the presence of 'flagship' or of rare or endemic species

  5. Special features - this relates the waterway to the surrounding area and determines the extent to which the river environment is uncommon in the area, and to what extent it sustains other landforms and supports the flora and fauna of the region. Indicators contributing to this measure were:
    • its value as a drought refuge
    • the extent to which it maintains adjacent hydological features
    • its special biotic features and significant areas
    • the amount of refuge habitat and habitat for species of 'special' interest
    • if it has significant scientific sites

The values of each of the 'indicators' were built up from more direct measures of related aspects of the environment. For example the "level of catchment disturbance" was determined by estimating the percentage of natural vegetation cover remaining. The "variation from natural water chemistry state" was determined from the extent to which salinity, phosphorus and nitrogen varied from natural values. "Invertebrate diversity" was calculated from the total number of invertebrate species found. The "channel heterogeneity" depended on the percentages of clay, mud, peat, sand, gravel, cobble and rock on the river bed.

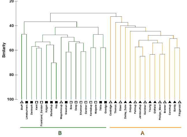
Above is a dendrogram based on macroinvertebrate data. It shows the existence of two broad aquatic bioregions, (A) eastern south coast and (B) western south coast. The western region includes the rivers from the Gardner to the Bluff, while the eastern region extends from the Pallinupo River to the Thomas River. This division and some of the lower-level groupings indicated on the dendrogram coincided rather poorly with the Interim Biogeographic Regionalisation of Australia (IBRA), a continent-wide regionalization of landscape patterns, based on data on climate, geomorphology, landform, and terrestrial biota. This illustrates the limitations of the IRBA for riverine flora and fauna, and suggests that a more specific classification designed for rivers may be more useful.

Water quality measurements did not provide as clear-cut a delineation as the invertebrate data, and did not coincide with the geographical location of the river systems. However there was some similarity with the invertebrate and the physical data groups, with subsets of the eastern group rivers and the western group rivers grouping together.
This is the dendrogram for the physical data:

There were no significant overall differences in turbidity, dissolved oxygen and phosphorus between the eastern and the western bioregions. However the easten group had higher levels of nitrogen, were slightly more alkaline, and noticeably more saline. This is very obvious in the following plot, with the eastern rivers to the right and the western rivers to the left.

Total macroinvertebrate species richness ranged from 15 to 79 species for river systems in the eastern south coast bioregion, while values ranged from 29 to 134 species for rivers in the western bioregion. The average total species richness (70) was significantly higher for the western aquatic bioregion than for the eastern bioregion (45). Species richness 'hotspots' in the eastern bioregion were the Bremer and Phillips West Rivers. The Frankland Gordon, Kent, Hay and Marbellup systems appeared to be hotspots for total species richness in the western bioregion.

The number of mayflies (order Ephemeroptera), stoneflies (order Plecoptera) and caddisflies (order Trichoptera), often taken together to determine an 'EPT' index, can be used to assess the health of waterways, since the aquatic larvae of these insects are generally sensitive to pollution and disturbance gradients. A number of these species proved to be significant on the south coast because of their distribution. Eighteen EPT species which occurred in the west, sometimes in more than half the rivers, were absent in eastern rivers. Four species occurred in both regions, but they tended to be more common in the east.

Five dragonfly and damselfly species occurred across the two regions while four others were confined to the western bioregion. Of the molluscs collected, all eight species were found in the west, but three species were absent from the east. Fish showed a similar distribution, with all species collected from the west but only four of the seven species collected from the east.

The naturalness, diversity and rarity measures of ecological value are shown in the following table for all the waterways sampled. The waterways with the highest overall ecological value in the east were the Bremer, Oldfiels and Jerdacuttup rivers, and the Shannon, Deep and Gardner in the west. These scores can be used to guide management decisions when allocating resources for river protection. However these generalised indicies must be used carefully and in combination with other features of the rivers and their environment when prioritising conservation effort.

This report is based on a project carried out by the Centre of Excellence in Natural resource Management for the Department of Water. The official report of the project is:

Cook, B. A., Janicke, G. and Maughan, J. (2008) Ecological values of waterways in the South Coast Region, Western Australia. Report No CENRM079, Centre of Excellence in Natural Resource Management, University of Western Australia. Report prepared for the Department of Water.
and it is available on-line as an 850Kb PDF.

index   index   index   home